ICX资讯网
山东省烟台、德州市2026届高三下学期高考诊断性测试数学试卷大题及其详细解答。
桐瑞漫说小姐姐
2026-03-06 11:37:14
山东省烟台、德州市2026届高三下学期高考诊断性测试数学试卷大题及其详细解答。
0
阅读:1
桐瑞漫说小姐姐
感谢大家的关注
作者最新文章
1
沉痛哀悼,我校一位65周岁的退休老师驾鹤西去,现代社会,我只能说太年轻了,他爱喝
2
在酒桌上这样操作合适吗?应该提前准备好!
3
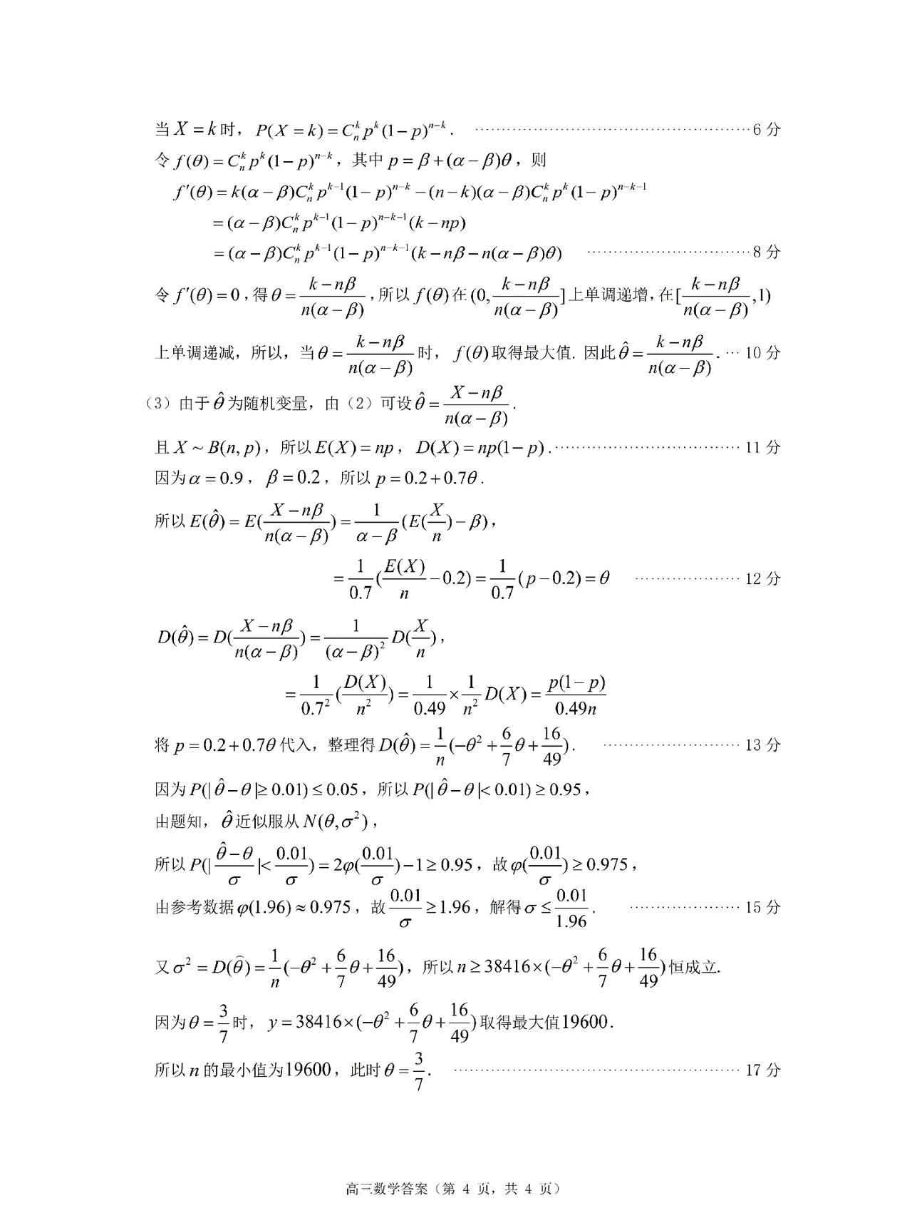
山东省烟台、德州市2026届高三下学期高考诊断性测试数学试卷大题及其详细解答。
4
山东省烟台、德州市2026届高三下学期高考诊断性测试数学试卷单选题、多选题、填空
5
这是现实版本的抛绣球,女子有望今年脱单。
6
今天是我的生日,小小的仪式感还是要有的,来头条记录一下,期待大家的美好祝愿!🎂
7
今天是我56岁纪念日,祝自己生日快乐。
8
漂亮和善良,你会选择哪个爱美之心人皆有之,谁都喜欢漂亮的美女,但是仅仅只是漂亮,
9
夫妻之间沟通感情的方式有哪些?天天想拥抱一下算吗?
10
美女刻苦学习,只为考研成功。
热门分类
推荐
热榜
军事
NBA
体育
社会
明星八卦
娱乐
财经
科技
汽车
历史
国际
游戏
动漫
公益
搞笑
商业
互联网
数码
国际足球
房产
家居
时尚
科学探索
职场
育儿
股票
教育
影视
情感
热点
中国军情
武器
中国南海
中国足球
亚洲杯
科比
综合体育
CBA
投资
大咖秀
外汇
创业
风口
SUV
豪车
概念车
优惠
新能源
美国
欧洲
朝日韩
俄罗斯
孕期
街拍
婚姻
正能量