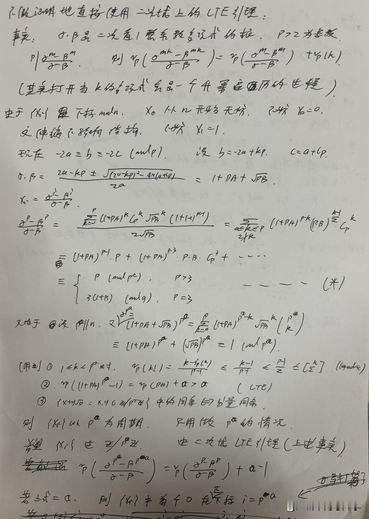
数学竞赛大神给出的2025CMO第6题的解法 如果在CMO考场上能做出第6题,

江与升学 2025-11-28 13:47:23

数学竞赛大神给出的2025CMO第6题的解法 如果在CMO考场上能做出第6题, 基本国家集训队就非常稳了, 第6题数论题还是非常难的, 据说某位返场CMO大神, 在今年的CMO现场也没有做出第6题。 所以数竞现场还是充满了变数的, 6道题涉及组合、代数、几何、数论4个不同的板块,每个人擅长的板块也不相同, 即使是去年的CMO来做今年的题, 也并非是题题可以切出来, 能不能做出来题还得看题出的是不是对路子 考试不仅是实力的呈现, 也是需要运气和看状态发挥的。 看起来4个半小时做3个题时间绰绰有余, 其实在考场上就知道时间是非常紧张的, 如果时间分配不合理, 在一道题上浪费太多时间, 就有可能导致后面会做的题也不够时间了。 这也是为什么很多考场上做不出来的题, 出了考场却能迅速做出来的原因。

0 阅读:24
江与升学

江与升学

感谢大家的关注