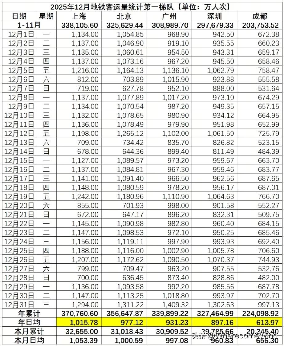
2025年全国地铁客流收宫, 上海,北京,广州,深圳,成都 稳坐前五。 与2024年相比,位次没有变化。 6至10名却出现明显变化。 但前十名的城市, 与2024年比没有变化。 仅仅是6-9名位次发生了变化。 西安从第九,升为第六。 重庆第七未变。 杭州从第六,下降到第七。 武汉从第八,下降到第九。 南京依然是前十的守门员。 其中, 超过三十亿的分别是, 上海,北京,广州和深圳。 成都22亿。 超过15亿的分别是, 西安,重庆和杭州, 武汉14亿,南京11亿。 其余城市均未达10亿。 其中,长沙以9.4亿位居11名 地铁客流从一个侧面反映出, 各大城市的活力。






山民看国际
数据不准确,上北广深,四大一线年地铁客流量超过30亿,成都是23.4亿,单独一档,属于1.8线城市,西安、重庆、杭州2025年地铁客流量能上15亿;武汉约14.34亿,南京约13.2-13.5亿。