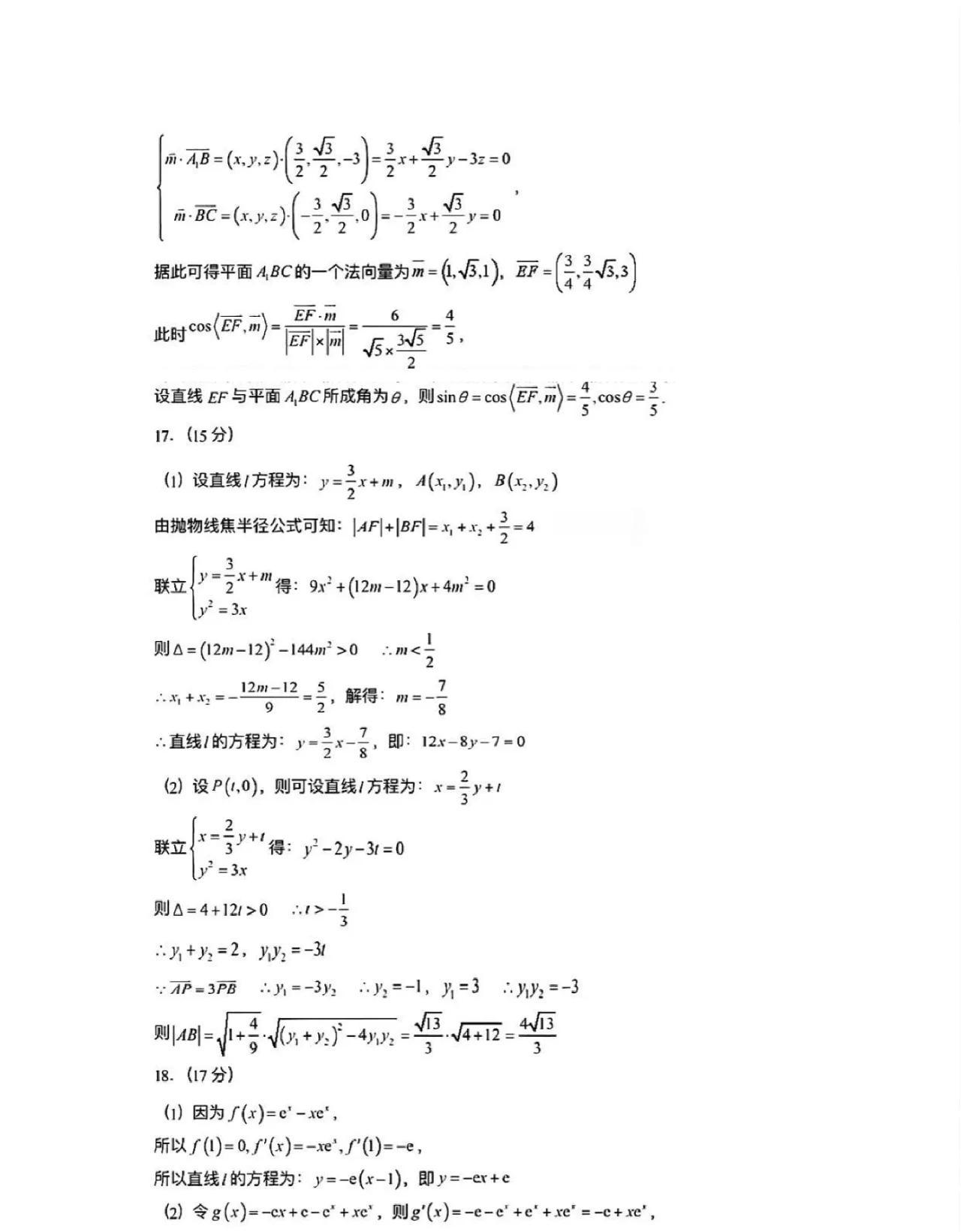
2023级青岛市部分学生期中考试和广东省普通高中高三12月第二次调研数学大题及其

桐瑞漫说小姐姐 2025-12-07 21:22:26

2023级青岛市部分学生期中考试和广东省普通高中高三12月第二次调研数学大题及其答案。

0 阅读:0
桐瑞漫说小姐姐

桐瑞漫说小姐姐

感谢大家的关注