ICX资讯网
高三一轮复习教案2.1函数的概念与表示
弄了与数学
2025-12-01 19:33:14
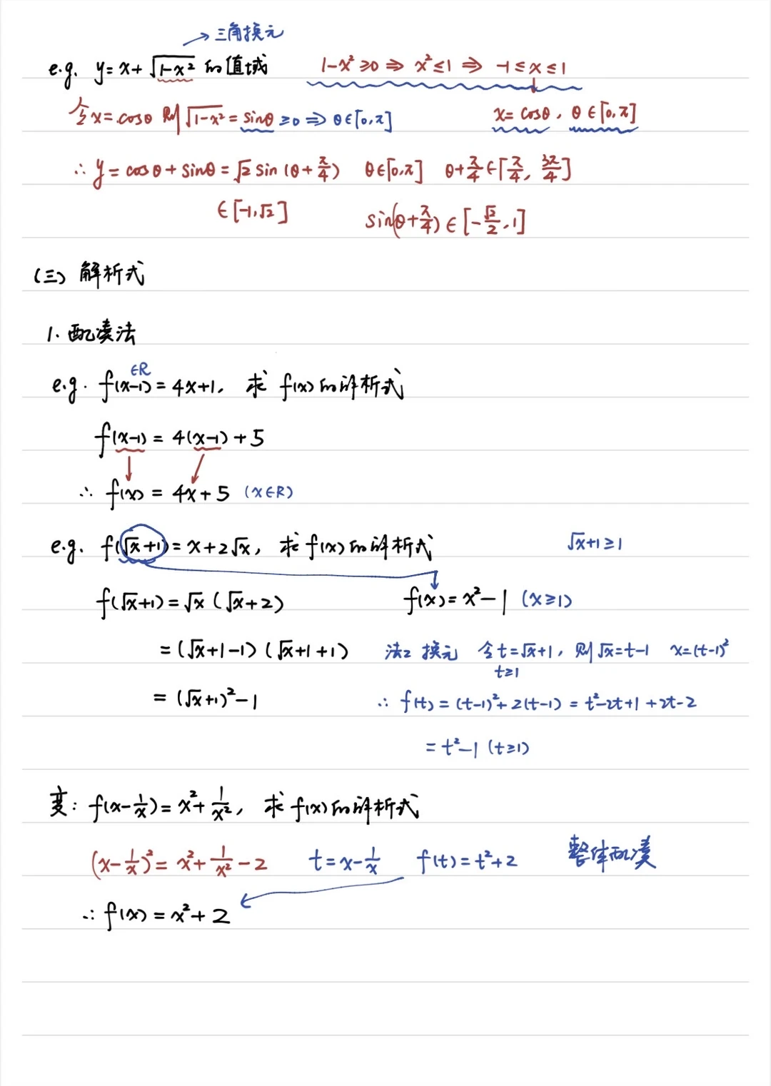
这是漏更的一节内容,从函数的概念到三要素,自己花了心思,总结的还是很全面的,开学从这里讲起~ 下学期会是一个新的开始,加油吧!
0
阅读:0
弄了与数学
感谢大家的关注
作者最新文章
1
高三一轮复习 专题 正、余弦定理的应用
2
高三一轮复习 4.8 正、余弦定理
3
高三一轮复习 4.3-4.4 三角恒等变换
4
高三一轮复习教案 专题 常见函数图象
5
微专题 y=a^x与y=logax的交点个数
6
高三一轮复习 2.10 指对幂的大小比较
7
高三数学周考试卷(二)
8
高三一轮复习教案 专题 抽象函数
9
高三数学周考试卷(一)
10
高三资料整理,原来的配方,不一样的味道~
热门分类
推荐
热榜
军事
NBA
体育
社会
明星八卦
娱乐
财经
科技
汽车
历史
国际
游戏
动漫
公益
搞笑
商业
互联网
数码
国际足球
房产
家居
时尚
科学探索
职场
育儿
股票
教育
影视
情感
热点
中国军情
武器
中国南海
中国足球
亚洲杯
科比
综合体育
CBA
投资
大咖秀
外汇
创业
风口
SUV
豪车
概念车
优惠
新能源
美国
欧洲
朝日韩
俄罗斯
孕期
街拍
婚姻
正能量
教育
TOP
1
大学时期的刘亦菲也美得让人惊叹[哭哭]
2
原来老师也怕老师😂
3
研究曾医生,真发现大“门道”。中南大医学博士,眼科副主任,核心骨干,专挑复杂手术
4
很多女孩子基本上都是在读大学的时候被黑人追走的,因为读大学的时候的女生在初高中的
5
老师们,好消息!今天教育部又发通知了,事关全体教师!根据教育部网站消息,教育
6
国防科技大学怎么那么多黑人。
7
一个黑人搭讪两个女大学生,这两个女大学生欣然接受,和黑人热情交谈,而且还用英语交
8
快报!快报日本突然宣布了11月29日,有消息称,日本东北大学拟将国际学生的
9
真学霸和伪学霸的区别
10
现在的生活就是好了,才初中生都长这么高了。
教育
最新文章
1
一女孩去面试,排到他236号,考官问:“中国最贵的字是哪一个?”女孩回答:
2
高考散场的人群里,妈妈刚结束手头的工作,连工装都没来得及换下,就攥着一瓶矿泉水挤
3
客观深度分析,从日本🇯🇵房地产看中国房地产。日本的大都市圈比较少,过去十年
4
周二热点题材前瞻梳理!
5
广东省教育厅2025年12月1日刚刚发布:中山大学,华南理工大学,暨南大学,华南
6
现在学校教师的编制都非常紧张,只要有老师请假,安排课就挺犯愁。某学校有位老师
7
这是什么高中,前500名还能冲击985?这样的高中一个省可能也只有一两所,还必
8
快报!快报日本突然宣布了11月29日,有消息称,日本东北大学拟将国际学生的
9
到了高中你会发现:很多人一到高中,就把目标定为211、985,但到了高二,发
10
韦东奕“闭关”这四个月,干了三件大事:第一、2025年11月27日,韦东奕已获